信以致远 智创未来
College of Information and Intelligent Engineering
根据《云南经济管理学院招生就业处关于开展2026届优秀毕业生推选工作的通知》要求,信息与智能工程学院组织开展了2026届校级优秀毕业生评选工作。
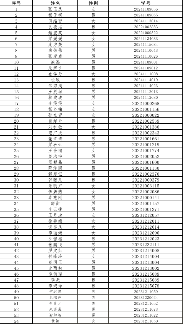
经符合条件的毕业生自愿申请,辅导员及专业负责人审核,经班级民主评议,信息与智能工程学院召开党政联席会议对初审名单和申请材料进行了审核,审核通过评选2026届校级优秀毕业生54人,现予以公示。

公示期为2026年3月17日至2026年3月19日,如有异议,请于公示期内向学院党总支副书记联系。
联系人:李洋
联系电话:18213951572
联系地址:云南经济管理学院安宁校区信息楼405办公室



版权所有 ? 云南经济管理学院-信息与智能工程学院 滇ICP备05007082号
Copyright 云南经济管理学院-信息与智能工程学院